Petrobras announces Expiration and Expiration Date Results of Cash Tender Offers

Petróleo Brasileiro S.A. – Petrobras today announced the expiration and expiration date results of the previously announced cash tender offers by its wholly-owned subsidiary, Petrobras Global Finance B.V. (“PGF”), with respect to any and all of PGF’s outstanding notes of the series set forth in the table below (the “Notes” and such offers, the “Offers”).

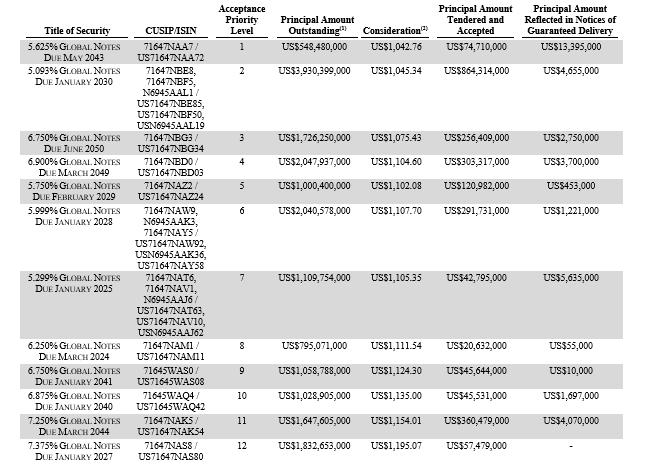
The following table sets forth certain information about the Offers, including the aggregate principal amount of Notes validly tendered and accepted in the Offers, and the aggregate principal amount of Notes reflected in notices of guaranteed delivery delivered at or prior to the Expiration Date:

(1) Including Notes held by Petrobras or its affiliates.
(2) Per US$1,000 principal amount of Notes validly tendered and accepted for purchase.  The applicable consideration does not include accrued and unpaid interest on the Notes accepted for purchase through the Settlement Date (as defined below), which will be payable in cash.


The Offers expired at 5:00 p.m., New York City time, on April 7, 2021 (the “Expiration Date”).  The settlement date with respect to the Offers is expected to occur on April 12, 2021 (the “Settlement Date”).  

The Offers were made pursuant to the terms and conditions set forth in the offer to purchase dated March 31, 2021 (the “Offer to Purchase” and, together with the accompanying notice of guaranteed delivery, the “Offer Documents”).

In order to be eligible to participate in the Offers, holders of Notes reflected in notices of guaranteed delivery received by PGF prior to the Expiration Date must deliver such Notes to PGF by 5:00 p.m., New York City time, on April 9, 2021 (the “Guaranteed Delivery Date”).

On the terms and subject to the conditions set forth in the Offer to Purchase, PGF has accepted for purchase all of the Notes validly tendered, and expects to accept all of the Notes for which PGF received notices of guaranteed delivery and that are delivered on or prior to the Guaranteed Delivery Date.  The principal amount of Notes that will be purchased by PGF on the Settlement Date is subject to change based on deliveries of Notes pursuant to the guaranteed delivery procedures described in the Offer to Purchase.  A press release announcing the final results of the Offers is expected to be issued on or promptly after the Settlement Date.

All conditions described in the Offer to Purchase that were to be satisfied or waived on or prior to the Expiration Date have been satisfied.


# # #


PGF engaged BNP Paribas Securities Corp., Banco Bradesco BBI S.A., Citigroup Global Markets Inc., Credit Agricole Securities (USA) Inc., Mizuho Securities USA LLC and Morgan Stanley & Co. LLC to act as dealer managers with respect to the Offers (the “Dealer Managers”).  Global Bondholder Services Corporation acted as the depositary and information agent for the Offers.

This announcement is for informational purposes only, and does not constitute an offer to purchase or sell or a solicitation of an offer to sell or purchase any securities.  

Any questions or requests for assistance regarding the Offers may be directed to BNP Paribas Securities Corp. collect at +1 (212) 841-3059 or toll free at +1 (888) 210-4358, Banco Bradesco BBI S.A. at +1 (646) 432-6643, Citigroup Global Markets Inc. at +1 (800) 558-3745 (toll free) or +1 (212) 723-6106 (collect), Credit Agricole Securities (USA) Inc. at +1 (866) 807-6030 (toll free) or +1 (212) 261-7802 (collect), Mizuho Securities USA LLC collect at +1 (212) 205-7736 or +1 (866) 271-7403 (toll free) and Morgan Stanley & Co. LLC at +1 (800) 624-1808 (toll free) or +1 (212) 761-1057 (collect).  Requests for additional copies of the Offer Documents may be directed to Global Bondholder Services Corporation at +1 (866) 470-3800 (toll-free) or +1 (212) 430-3774.  The Offer Documents can be accessed at the following link: https://www.gbsc-usa.com/Petrobras/.

The Offers were made solely pursuant to the Offer Documents.  The Offer Documents have not been filed with, and have not been approved or reviewed by any federal or state securities commission or regulatory authority of any country.  No authority has passed upon the accuracy or adequacy of the Offer Documents or any other documents related to the Offers, and it is unlawful and may be a criminal offense to make any representation to the contrary.

The communication of this announcement and any other documents or materials relating to the Offers is not being made and such documents and/or materials have not been approved by an authorized person for the purposes of Section 21 of the Financial Services and Markets Act 2000.  This announcement and any other documents related to the Offers are for distribution only to persons who (i) have professional experience in matters relating to investments falling within Article 19(5) of the Financial Services and Markets Act 2000 (Financial Promotion) Order 2005 (the “Order”), (ii) are persons falling within Article 49(2)(a) to (d) (“high net worth companies, unincorporated associations, etc.”) of the Order, (iii) are outside the United Kingdom, (iv) are members or creditors of certain bodies corporate as defined by or within Article 43(2) of the Order, or (v) are persons to whom an invitation or inducement to engage in investment activity (within the meaning of section 21 of the Financial Services and Markets Act 2000) in connection with the issue or sale of any securities may otherwise lawfully be communicated or caused to be communicated (all such persons together being referred to as “relevant persons”).  This announcement and any other documents related to the Offers are directed only at relevant persons and must not be acted on or relied on by persons who are not relevant persons.  Any investment or investment activity to which this announcement and any other documents related to the Offers are available only to relevant persons and will be engaged in only with relevant persons.

Forward-Looking Statements
This announcement contains forward-looking statements.  Forward-looking statements are information of a non-historical nature or which relate to future events and are subject to risks and uncertainties.  No assurance can be given that the transactions described herein will be consummated or as to the ultimate terms of any such transactions.  Petrobras undertakes no obligation to publicly update or revise any forward-looking statements, whether as a result of new information or future events or for any other reason.

Leave a comment

Blog at WordPress.com.

Up ↑